352 字
2 分钟
一种很傻的 π 的计算方法
圆周率(Pi)是圆的周长与直径的比值,一般用希腊字母π表
计算Pi的方法有很多种,但是我要说的这种绝对是最笨的一种
算法原理很简单,假设有一个标准圆(r = 1),那么它的面积就是 S = π * r^2 = π
那么,把这个圆刚好圈起来的正方形的面积是 S = 2 * 2 = 4

随机拿一个飞镖往这个地方扔(假设仍在正方形内的概率是1),那么落在圆内的概率就是 P = π/4
于是,我就一直那飞镖往这个地方扔,最后统计扔进圆内的和总共扔的次数,计算出概率 P
最后在通过公式 π = P/4 计算出 π 的值
这个过程可以用计算机模拟,随机取一个 x [0,1),y[0,1) 的数字,只要他们的 x^2 + y^2 < 1,证明这个点就在圆内
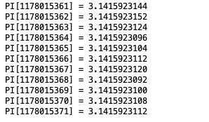
Random random = new Random(); BigDecimal totalTimes = BigDecimal.ZERO; BigDecimal innerTimes = BigDecimal.ZERO; BigDecimal num4 = new BigDecimal("4"); while (true) { double ranX = random.nextDouble() * 2 - 1; double ranY = random.nextDouble() * 2 - 1; double result = ranX * ranX + ranY * ranY; if (result < 1) { innerTimes = innerTimes.add(BigDecimal.ONE); } totalTimes = totalTimes.add(BigDecimal.ONE); BigDecimal PI = innerTimes.divide(totalTimes, 10, BigDecimal.ROUND_CEILING).multiply(num4); System.out.println("PI[" + totalTimes.toString() + "] = " + PI.toString()); }
扔了11.7 亿次以后,算出👆的结果
这种方法叫蒙特卡罗(Monte Carlo)法,是冯·诺伊曼命名的

